The aircraft warning lighting

Standards and criteria for the positioning of equipment for the correct identification of "obstacles to flight"

Introduction

"Obstacles to fly" are commonly defined vertical constructions such as buildings of large dimensions, power lines, antenna repeaters, supports, chimneys, wind generators, cableways, stretched ropes and similar infrastructures that exceed a certain height from the ground, divided into:

  • vertical obstacles with a height equal to or greater than 60 meters from the ground, if located in residential areas and with a height of 15 meters from the ground, if located outside the residential areas.
  • linear obstacles with a height above the ground of 15 meters or more, consisting of power lines with a voltage exceeding 50 kV (regardless of the height above the ground) and all obstacles with a height of less than 15 meters above the built-up areas; having a particular location and not easily recognizable.

The reference Standards

There are different international and regional standards that regulate the location and the relative positioning of the aircraft warning lighting equipment subdivided into:

  • ICAO (International Civil Aviation Organization), annex 14, chapter 6. - Visual AIDS for denoting obstacles.
  • FAA (Federal Aviation Administration) 70/7460-1L – Obstruction Marking and Lighting classification.
  • ENAC (Ente Nazionale Aviazione Civile) - Authority for technical regulation, certification, supervision and control in the civil aviation sector.
placehold

The complexity of the air traffic and the impact on the signalling of the obstacles to flight


Taking the Malpensa airport as an example, the aircraft routes are the most disparate. The pilots must pay the utmost attention during the take-off and landing phases and the obstacles coming out from the ground level must be signaled with the characteristics mentioned in the introduction. Similarly, in the case of environments with a risk of explosion, the tall structures with heights that are included in the parameters of the regulations must be adequately signaled with the same criteria as those laid down by these standards.

The ICAO, Annex 14, Chapter 6

To give an indication of the various criteria and parameters of size construction, we report here below some paragraphs of the ICAO standard, Annex 14, Chapter 6, referring to the other constructive rules for the specific sizing.

This legislation highlights the criteria for the correct equipment positioning and function, the marking and the indications necessary for the correct identification of air obstacles. We report only the chapters relating to the obstacles in elevation, referring to the standard for the remaining articles of moving nature on the ground)..

6.1 Objects to be marked and/or lighted

The marking and/or lighting of obstacles is intended to reduce hazards to aircraft by indicating the presence ofthe obstacles.

6.1.1 A fixed obstacle that extends over a take-up ascent surface within 3000 m from the inside of the ascent surface, must be marked and, if the runway is used at night, illuminated or, omitted when the obstacle is protected by another obstacle fixed, or when the obstacle is lit with medium-intensity obstacle lights of type A, during the day and its height above the level of the surrounding terrain does not exceed 150 m, or when the obstacle is lit by obstacle lights to high intensity day, and if the obstacle is a lighthouse and an aeronautical study indicates that the light of the lighthouse is sufficient..

6.1.2 A fixed object, other than an obstacle, adjacent to a take-up ascent surface should be marked and, if the runway is used at night, signaled and illuminated if considered necessary to ensure its efficiency, except that the warning may be omitted when the object is illuminated by medium intensity obstacle warning lights, type A, during the day and its height above the level of the surrounding terrain does not exceed 150 m or the object is illuminated by high intensity daytime obstacle lights.

6.1.3 A fixed obstacle extending above a transitional approach or surface within 3000 m from the inner edge of the approach surface shall be marked and, if the runway is used at night, illuminated, except when the obstacle is protected by a another fixed obstacle, or when the obstacle is on with medium intensity obstacle warning lights, type A, during the day and its height above the level of the surrounding terrain does not exceed 150 m, or when the obstacle is lit with lights signaling high-intensity obstacles during the day and if the obstacle is a lighthouse and an aeronautical study indicates that the light from the lighthouse is sufficient.

6.1.4 A fixed obstacle above the horizontal surface must be marked and, if the airport is used at night, illuminated except that such marking and lighting can be omitted, a) when the obstacle is shielded by another fixed obstacle, or for a surface of approach obstructed by buildings, objects or terrain, procedures have been established to ensure a safe vertical distance under prescribed flight trajectories, or an aeronautical study shows that the obstacle is not significant to the operation, b) when the object it is illuminated by medium intensity obstacle warning lights, type A, by day and its height above the level of the surrounding terrain does not exceed 150 m or the object is illuminated by high intensity obstacle lights during the day and if the obstacle it is a lighthouse and an aeronautical study indicates that the light of the lighthouse is sufficiente.

6.1.5 A fixed object that extends over an obstacle from the protective surface must be marked and, if the night slope, illuminated is used.

6.3 Use of light signals for aerial obstacles

6.3.1 The presence of objects to be illuminated, as specified in 6.1, must be indicated with low, medium or high intensity lights or a combination of such lights.Note - High intensity obstacle lights are intended for daytime and night-time use. In order to ensure that these lights do not create disconcerting glare, a guide to the design, location and operation of high-intensity obstacle lights is given in the Aerodrome Design Manual, Part 4.

6.3.2 Low intensity obstacle warning lights, Type A or B, must be installed on constructions with low extension and height above the lower ground of 45m.

6.3.3 Where the use of low intensity obstacle warning, type A or B, is inadequate and a special warning is required, it is advisable to install obstacles of the medium or high intensity type.

6.3.6 Low intensity obstacle warning lights, Type B, can also be installed in combination with medium intensity type B lights, in accordance with point 6.3.7.

6.3.7 Medium intensity obstacle warning lights, type A, B or C, should be used where the object is of great extension or its height above the level of the surrounding terrain is greater than 45 m. Medium-intensity obstacle warning lights, type A and C, should be used alone, while at medium intensity obstacle lights, type B, should be used alone or in combination with low intensity obstacle lights, type B.

6.3.8 High intensity obstacle warning lights, Type A, should be used to indicate the presence of an object if its height above the level of the surrounding terrain exceeds 150 meters and an aeronautical study indicates that such lights are essential for the recognition of the object of day.

6.3.9 High-intensity obstacle warning lights, Type B, should be used to indicate the presence of an aerial cable support tower, etc., where an aeronautical study indicates that such lights must be essential for recognizing the presence of wires, cables, etc. or it was not possible to install markers of wires, cables, etc.

6.3.10 Where, in the opinion of the competent authority, the use of high-intensity obstacle lights, Type A or B, or medium-intensity obstacle lights, type A, at night can cause glare to pilots near an airport (within a radius of approximately 10000 m) or due to significant environmental concerns, a double obstacle lighting system should be provided. This system should consist of high intensity obstacle lights, Type A or B, or medium intensity type A, depending on the case, for the day and twilight use and medium intensity obstacle lights, type B or C, for night use.

6.3.11 One or more low, medium or high intensity signal lights must be positioned as close as possible to the top of the object. The upper lights must be arranged in such a way as to indicate at least the points or edges of the top object in relation to the obstacle limitation surface.

6.3.12 In the case of chimneys or other structures of similar function, the upper lights should be positioned sufficiently below the upper part so as to minimize contamination by smoke, etc. (see figure below).

placehold



6.3.13 In the case of a tower or an antenna structure signaled by high-intensity obstacle lights by day with a relevance, such as a rod or antenna, greater than 12 m where it is not possible to locate an obstacle, a light must be installed at high intensity on the top of the appurtenance, this light must be situated at the highest feasible point and, if practicable, a medium intensity obstacle warning light, type A, on the upper part.

6.3.14 In the case of an extended object or group of close objects, the upper lights must be displayed at least outside the points or edges of the highest objects, in relation to the obstacle limit surface, so as to indicate the extent of the objects. If two or more edges are on the same height, the edge closest to the landing area must be marked Where low intensity lights are used, they must be spaced at longitudinal intervals not exceeding 45 m, where medium intensity lights are used, they must be spaced at longitudinal intervals not exceeding 900 m.

6.3.15 When the limitation of the obstacles involved is sloping and the highest point above the obstacle limitation surface is not the highest point of the object, further obstacle lights should be placed on the highest point of the object.

6.3.16 Where an object is indicated by medium intensity obstacle warning lights, type A and the top of the object is more than 105 m above the level of the surrounding terrain or the elevation of the tops of neighbouring buildings (when the object that must be marked is surrounded by buildings), additional lights should be provided at intermediate levels. These additional intermediate levels must be spaced as far as possible between the upper and ground lights or the level of neighbouring buildings, as appropriate, with spacing not exceeding 105 m (see 6.3.7).

6.3.17 Where an object is indicated by medium intensity obstacle warning lights, type B and the upper part of the object is more than 45 m above the level of the surrounding terrain or the elevation of the tops of neighbouring buildings (when the object that must be marked is surrounded by buildings), additional lights should be provided at intermediate levels. These additional intermediate levels must alternatively have low-intensity obstacle lights, type B, and medium-intensity obstacle lights, type B, and must be spaced as evenly as possible between the upper and ground-level lights or the level of the tops of buildings. neighbours, as appropriate, with a spacing not exceeding 52 m.

6.3.18 When an object is indicated by medium intensity obstacle warning lights, Type C and the top of the object is more than 45 m above the level of the surrounding terrain or the height of the tops of neighboring buildings (when the object that must be marked is surrounded by buildings), additional lights should be provided at intermediate levels. These additional intermediate lights must be spaced as evenly as possible between the upper lights and the ground level or the level of the tops of neighboring buildings, as appropriate, with a distance of not more than 52 m.

6.3.19 Where high-intensity obstacle lights, type A, are used, they must be spaced at uniform intervals not exceeding 105 m above ground level and the upper lights specified in 6.3.11, except where there is an object to be marked surrounded by buildings, in this case the elevation of the tops of buildings can be used as the equivalent of the ground level when determining the number of light levels.

6.3.20 Where high-intensity obstacle lights, Type B, are used, they must be located on three levels:

  • at the top of the tower;
  • at the lowest level of the catenary of the wires or cables;
  • at approximately midway between these two levels.
Note - In some cases, this may require locating the lights off the tower.

6.3.21 The installation setup angles for high intensity obstacle lights, types A and B, should be in accordance with the table below.


placehold

Appendix 6 ICAO Annex 16, Chapter 6. - LOCATION OF LIGHTS ON OBSTACLES

Figure A6-1. Medium-intensity flashing-white obstacle lighting system, Type A

placehold

Note. High-intensity obstacle lighting is recommended on structures with a height of more than 150 m above ground level. If medium-intensity lighting is used, marking will also be required.

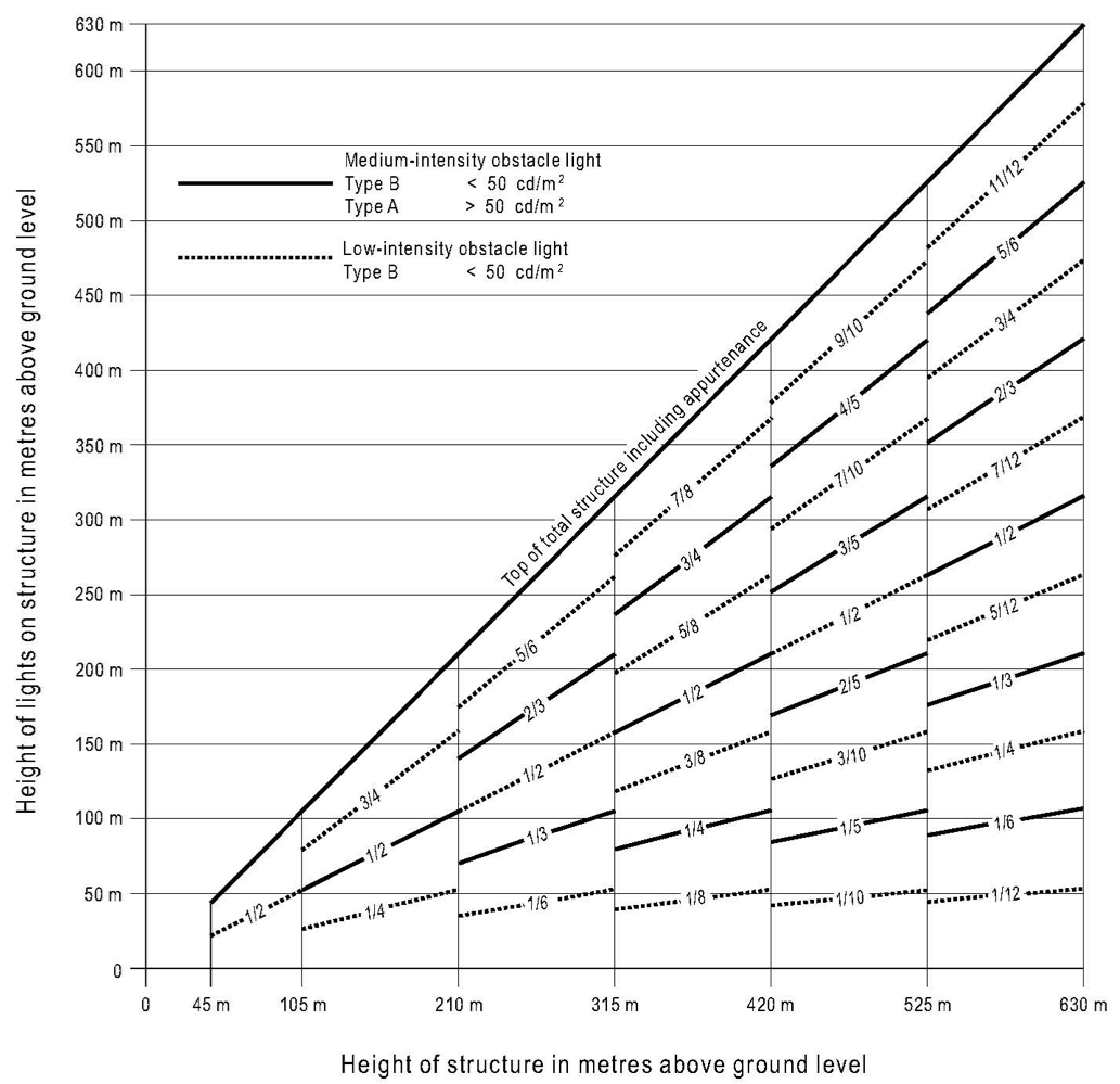
Figure A6-2. Medium-intensity flashing-red obstacle lighting system, Type B

placehold

Note. For night-time use only

Figure A6-3. Medium-intensity fixed-red obstacle lighting system, Type C

placehold

Note. For night-time use only.

Figure A6-4. Medium-intensity dual obstacle lighting system, Type A/Type B

placehold

Note. High-intensity obstacle lighting is recommended on structures with a height of more than 150 m above ground level. If medium-intensity lighting is used, marking will also be required.

Figure A6-5. Medium-intensity dual obstacle lighting system, Type A/Type C

placehold

Note. High-intensity obstacle lighting is recommended on structures with a height of more than 150 m above ground level. If medium-intensity lighting is used, marking will also be required.

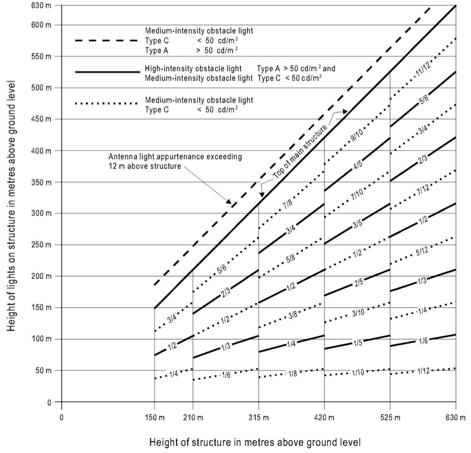
Figure A6-6. High-intensity flashing-white obstacle lighting system, Type A

placehold

Figure A6-7. High-/medium-intensity dual obstacle lighting system, Type A/Type B

placehold

Figure A6-8. High-/medium-intensity dual obstacle lighting system, Type A/Type C

placehold

Conclusions

This article was aimed to give a short idea on the multiple problems related to aircraft signaling systems and does not pretend to be a guideline, referring as always to the designer the task of analysing in all the specific parts of the project which and how many signalling equipment will be necessary for the navigation, in full compliance with the regulations and laws in force in each destination country.

Cortem Group produces obstruction lighting fixtures such as low intensity lighting fixtures, type A or B, XLFE-4…/1 series (corresponding to the type FAA L-810) and type B medium intensity lighting fixtures XLFE-MIB series (corresponding to the FAA L-864 type).